142, Linked List Cycle II
I Problem
Given the head of a linked list, return the node where the cycle begins. If there is no cycle, return null.
There is a cycle in a linked list if there is some node in the list that can be reached again by continuously following the next pointer.
Internally, pos is used to denote the index of the node that tail's next pointer is connected to (0-indexed). It is -1 if there is no cycle.
Note that pos is not passed as a parameter.
Do not modify the linked list.
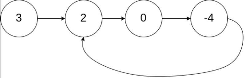
Example 1
Input: head = [3, 2, 0, -4], pos = 1
Output: tail connects to node index 1
Explanation: There is a cycle in the linked list, where tail connects to the second node.
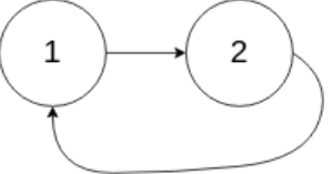
Example 2
Input: head = [1, 2], pos = 0
Output: tail connects to node index 0
Explanation: There is a cycle in the linked list, where tail connects to the first node.
Example 3
Input: head = [1], pos = -1
Output: no cycle
Explanation: There is no cycle in the linked list.
Constraints
- The number of the nodes in the list is in the range
[0, 10⁴]. -10⁵ <= Node.val <= 10⁵posis-1or a valid index in the linked-list.
Follow up
- Can you solve it using
O(1)(i.e. constant) memory?
Related Topics
- Hash Table
- Linked List
- Two Pointers
II Solution
type NLink = *mut ListNode;
pub struct ListNode {
pub val: i32,
pub next: NLink,
}
impl ListNode {
pub fn new(val: i32, next: NLink) -> NLink {
Box::into_raw(Box::new(ListNode { val, next }))
}
}public class ListNode {
int val;
ListNode next;
public ListNode() {}
public ListNode(int val) {
this.val = val;
}
public ListNode(int val, ListNode next) {
this.val = val;
this.next = next;
}
}Approach 1: Use Hash Collections
pub fn detect_cycle(head: *mut ListNode) -> *mut ListNode {
let mut set = HashSet::new();
while !head.is_null() {
if !set.insert(head) {
return head;
}
unsafe {
head = (*head).next;
}
}
null_mut()
}public ListNode detectCycle(ListNode head) {
HashSet<ListNode> set = new HashSet<>();
while (head != null) {
if (!set.add(head)) {
return head;
}
head = head.next;
}
return null;
}Approach 2: Two Pointers
pub fn detect_cycle(head: *mut ListNode) -> *mut ListNode {
let mut fast = head;
let mut slow = head;
while !fast.is_null() {
unsafe {
fast = (*fast).next;
if fast.is_null() {
break;
}
fast = (*fast).next;
slow = (*slow).next;
if fast == slow {
fast = head;
while fast != slow {
fast = (*fast).next;
slow = (*slow).next;
}
break;
}
}
}
fast
}public ListNode detectCycle(ListNode head) {
ListNode slow = head;
ListNode fast = head;
while (fast != null) {
fast = fast.next;
if (fast == null) {
break;
}
fast = fast.next;
slow = slow.next;
if (fast == slow) {
fast = head;
while (fast != slow) {
fast = fast.next;
slow = slow.next;
}
break;
}
}
return fast;
}