24, Swap Nodes in Pairs
10/23/23About 1 min
I Problem
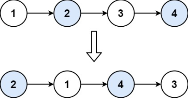
Given a linked list, swap every two adjacent nodes and return its head. You must solve the problem without modifying the values in the list's nodes (i.e., only nodes themselves may be changed.)
Example 1
Input: head = [1, 2, 3, 4]
Output: [2, 1, 4, 3]
Example 2
Input: head = []
Output: []
Example 3
Input: head = [1]
Output: [1]
Constraints
- The number of nodes in the list is in the range [0, 100]
- 0 <= Node.val <= 100
Related Topics
- Linked List
- Recursion
II Solution
ListNode(Rust)
#[derive(PartialEq, Eq, Clone, Debug)]
pub struct ListNode {
pub val: i32,
pub next: Option<Box<ListNode>>,
}
impl ListNode {
#[inline]
fn new(val: i32) -> Self {
ListNode { next: None, val }
}
}ListNode(Java)
public class ListNode {
int val;
ListNode next;
public ListNode() {}
public ListNode(int val) { this.val = val; }
public ListNode(int val, ListNode next) { this.val = val; this.next = next; }
}Approach 1: Iteration
Rust
pub fn swap_pairs(head: Option<Box<ListNode>>) -> Option<Box<ListNode>> {
let mut dummy = ListNode::new(-1);
dummy.next = head;
let mut p = &mut dummy;
while let Some(mut curr) = p.next.take() {
match curr.next.take() {
None => {
p.next = Some(curr);
break;
}
Some(mut next) => {
curr.next = next.next.take();
next.next = Some(curr);
p.next = Some(next);
p = p.next.as_mut().unwrap().next.as_mut().unwrap();
}
}
}
dummy.next
}Java
public ListNode swapPairs(ListNode head) {
ListNode dummy = new ListNode(-1, head);
ListNode temp = dummy;
while (temp.next != null) {
ListNode curr = temp.next;
ListNode next = curr.next;
if (next == null) {
break;
}
curr.next = next.next;
next.next = curr;
temp.next = next;
temp = curr;
}
return dummy.next;
}Approach 2: Recursion
Rust
pub fn swap_pairs(head: Option<Box<ListNode>>) -> Option<Box<ListNode>> {
const RECURSION_HELPER: fn(Option<Box<ListNode>>) -> Option<Box<ListNode>> =
|curr| match curr {
None => None,
Some(mut curr) => match curr.next.take() {
None => Some(curr),
Some(mut next) => {
curr.next = RECURSION_HELPER(next.next.take());
next.next = Some(curr);
Some(next)
}
},
};
RECURSION_HELPER(head)
}Java
Function<ListNode, ListNode> recursionHelper = (curr) -> {
if (curr == null) {
return null;
}
ListNode next = curr.next;
if (next == null) {
return curr;
}
curr.next = this.recursionHelper.apply(next.next);
next.next = curr;
return next;
};
public ListNode swapPairs(ListNode head) {
return this.recursionHelper.apply(head);
}