203, 移除链表元素
2023/10/20大约 1 分钟
一、题目描述
给你一个链表的头节点head和一个整数val,请你删除链表中所有满足Node.val == val的节点,并返回新的头节点。
示例 1
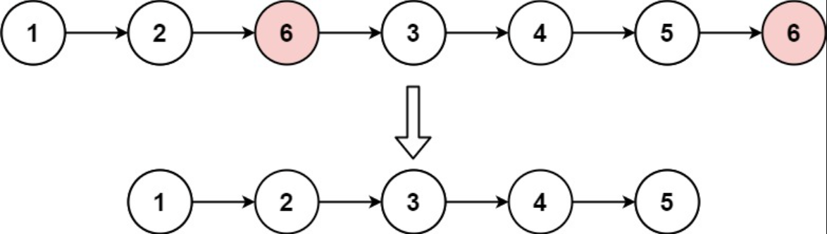
输入: head = [1, 2, 6, 3, 4, 5, 6], val = 6
输出: [1, 2, 3, 4, 5]
示例 2
输入: head = [], val = 1
输出: []
示例 3
输入: head = [7, 7, 7, 7], val = 7
输出: []
进阶
- 列表中的节点数目在范围[0, 10⁴]内
- 1 <= Node.val <= 50
- 0 <= val <= 50
相关主题
- 链表
- 递归
二、题解
ListNode(Rust)
#[derive(PartialEq, Eq, Clone, Debug)]
pub struct ListNode {
pub val: i32,
pub next: Option<Box<ListNode>>,
}
impl ListNode {
#[inline]
fn new(val: i32) -> Self {
ListNode { next: None, val }
}
}ListNode(Java)
public class ListNode {
int val;
ListNode next;
public ListNode() {}
public ListNode(int val) { this.val = val; }
public ListNode(int val, ListNode next) { this.val = val; this.next = next; }
}方法 1: 迭代
Rust
pub fn remove_elements(head: Option<Box<ListNode>>, val: i32) -> Option<Box<ListNode>> {
match head {
None => None,
Some(head) => {
let mut dummy = ListNode::new(-1);
dummy.next = Some(head);
let mut p = &mut dummy;
while let Some(curr) = p.next.take() {
if curr.val == val {
p.next = curr.next;
} else {
p.next = Some(curr);
p = p.next.as_mut().unwrap();
}
}
dummy.next
}
}
}Java
public ListNode removeElements(ListNode head, int val) {
if (head == null) {
return null;
}
ListNode dummy = new ListNode(-1, head);
ListNode p = dummy;
while (p.next != null) {
ListNode curr = p.next;
if (curr.val == val) {
p.next = curr.next;
} else {
p = curr;
}
}
return dummy.next;
}方法 2: 递归
Rust
pub fn remove_elements(head: Option<Box<ListNode>>, val: i32) -> Option<Box<ListNode>> {
match head {
None => None,
Some(mut head) => {
head.next = Self::recursion_helper(head.next.take(), val);
if head.val == val {
head.next
} else {
Some(head)
}
}
}
}Java
public ListNode removeElements(ListNode head, int val) {
if (head == null) {
return null;
}
head.next = this.recursionHelper(head.next, val);
return head.val == val ? head.next : head;
}