206, 反转链表
2023/10/22大约 1 分钟
一、题目描述
给你单链表的头节点head,请你反转链表,并返回反转后的链表。
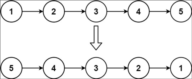
示例 1
输入: head = [1, 2, 3, 4, 5]
输出: [5, 4, 3, 2, 1]
示例 2
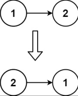
输入: head = [1, 2]
输出: [2, 1]
示例 3
输入: head = []
输出: []
提示
- 链表中节点的数目范围是 [0, 5000]
- -5000 <= Node.val <= 5000
进阶
链表可以选用迭代或递归方式完成反转。你能否用两种方法解决这道题?
相关主题
- 链表
- 递归
二、题解
ListNode(Rust)
#[derive(PartialEq, Eq, Clone, Debug)]
pub struct ListNode {
pub val: i32,
pub next: Option<Box<ListNode>>,
}
impl ListNode {
#[inline]
fn new(val: i32) -> Self {
ListNode { next: None, val }
}
}ListNode(Java)
public class ListNode {
int val;
ListNode next;
public ListNode() {}
public ListNode(int val) { this.val = val; }
public ListNode(int val, ListNode next) { this.val = val; this.next = next; }
}方法 1: 迭代
Rust
pub fn reverse_list(mut head: Option<Box<ListNode>>) -> Option<Box<ListNode>> {
let mut new_head = None;
while let Some(mut node) = head {
head = node.next.take();
node.next = new_head;
new_head = Some(node);
}
new_head
}Java
public ListNode reverseList(ListNode head) {
ListNode newHead = null;
ListNode curr = null;
while (head != null) {
curr = head;
head = head.next;
curr.next = newHead;
newHead = curr;
}
return newHead;
}方法 2: 递归
Rust
pub fn reverse_list(head: Option<Box<ListNode>>) -> Option<Box<ListNode>> {
const RECURSION_HELPER: fn(
Option<Box<ListNode>>,
Option<Box<ListNode>>,
) -> Option<Box<ListNode>> = |prev, curr| match curr {
None => prev,
Some(mut curr) => {
let next = curr.next.take();
curr.next = prev;
RECURSION_HELPER(Some(curr), next)
}
};
RECURSION_HELPER(None, head)
}Java
BiFunction<ListNode, ListNode, ListNode> recursionHelper = (prev, curr) -> {
if (curr == null) {
return prev;
}
ListNode next = curr.next;
curr.next = prev;
return this.recursionHelper.apply(curr, next);
};
public ListNode reverseList(ListNode head) {
return recursionHelper.apply(null, head);
}