257, 二叉树的所有路径
2023/12/26大约 3 分钟
一、题目描述
给你一个二叉树的根节点root,按任意顺序返回所有从根节点到叶子节点的路径。
叶子节点是指没有子节点的节点。
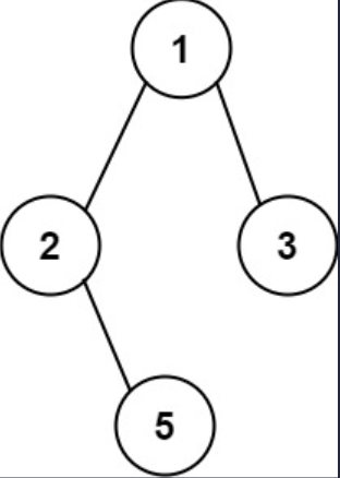
示例 1
输入: root = [1, 2, 3, null, 5]
输出: ["1->2->5", "1->3"]
示例 2
输入: root = [1]
输出: ["1"]
提示
- 树中节点的数目在范围
[1, 100]内 -100 <= Node.val <= 100
相关主题
- 树
- 深度优先搜索
- 字符串
- 回溯
- 二叉树
二、题解
Rust节点定义
#[derive(Debug, PartialEq, Eq)]
pub struct TreeNode {
pub val: i32,
pub left: Option<Rc<RefCell<TreeNode>>>,
pub right: Option<Rc<RefCell<TreeNode>>>,
}
impl TreeNode {
#[inline]
pub fn new(val: i32) -> Self {
TreeNode {
val,
left: None,
right: None,
}
}
}Java节点定义
public class TreeNode {
int val;
TreeNode left;
TreeNode right;
TreeNode() {}
TreeNode(int val) { this.val = val; }
TreeNode(int val, TreeNode left, TreeNode right) {
this.val = val;
this.left = left;
this.right = right;
}
}方法 1: 深度优先搜索
Rust
pub fn binary_tree_paths(root: Option<Rc<RefCell<TreeNode>>>) -> Vec<String> {
//Self::dfs_recur(root)
Self::dfs_iter(root)
}
///
/// Time Complexity: O(n^2)
/// Space Complexity: O(n^2)
///
fn dfs_recur(root: Option<Rc<RefCell<TreeNode>>>) -> Vec<String> {
let mut paths = vec![];
const RECUR_HELPER: fn(Option<Rc<RefCell<TreeNode>>>, Vec<i32>, &mut Vec<Vec<i32>>) =
|root, mut vals_vec, paths| {
if let Some(curr) = root {
vals_vec.push(curr.borrow().val);
let left = curr.borrow_mut().left.take();
let right = curr.borrow_mut().right.take();
match (left, right) {
(None, None) => {
paths.push(vals_vec);
}
(left, right) => {
if left.is_some() {
RECUR_HELPER(left, vals_vec.clone(), paths);
}
if right.is_some() {
RECUR_HELPER(right, vals_vec, paths);
}
}
}
}
};
RECUR_HELPER(root, vec![], &mut paths);
paths
.into_iter()
.map(|v| {
v.into_iter()
.map(|val| val.to_string())
.collect::<Vec<_>>()
.join("->")
})
.collect()
}
///
/// Time Complexity: O(n^2)
/// Space Complexity: O(n^2)
///
fn dfs_iter(root: Option<Rc<RefCell<TreeNode>>>) -> Vec<String> {
let mut paths = vec![];
if let Some(root) = root {
let mut stack = vec![(root, vec![])];
while let Some((curr, mut vals_vec)) = stack.pop() {
vals_vec.push(curr.borrow().val);
let left = curr.borrow_mut().left.take();
let right = curr.borrow_mut().right.take();
match (left, right) {
(None, None) => {
paths.push(vals_vec);
}
(left, right) => {
if let Some(right) = right {
stack.push((right, vals_vec.clone()));
}
if let Some(left) = left {
stack.push((left, vals_vec));
}
}
}
}
}
paths
.into_iter()
.map(|v| {
v.into_iter()
.map(|val| val.to_string())
.collect::<Vec<_>>()
.join("->")
})
.collect()
}Java
public List<String> binaryTreePaths(TreeNode root) {
//return this.dfsRecur(root);
return this.dfsIter(root);
}
@FunctionalInterface
interface TriConsumer<A, B, C> {
void accept(A a, B b, C c);
}
TriConsumer<TreeNode, List<Integer>, List<List<Integer>>> recur = (root, vals_list, paths) -> {
if (root == null) {
return;
}
vals_list.add(root.val);
if (root.left == null && root.right == null) {
paths.add(vals_list);
} else {
if (root.left != null) {
this.recur.accept(root.left, new ArrayList<>(vals_list), paths);
}
if (root.right != null) {
this.recur.accept(root.right, vals_list, paths);
}
}
};
/**
* Time Complexity: O(n^2)
* Space Complexity: O(n^2)
*/
List<String> dfsRecur(TreeNode root) {
List<List<Integer>> paths = new ArrayList<>();
this.recur.accept(root, new ArrayList<>(), paths);
return paths.stream().map(v -> {
List<String> s = v.stream().map(String::valueOf).collect(Collectors.toList());
return String.join("->", s);
}).collect(Collectors.toList());
}
/**
* Time Complexity: O(n^2)
* Space Complexity: O(n^2)
*/
List<String> dfsIter(TreeNode root) {
List<List<Integer>> paths = new ArrayList<>();
if (root != null) {
Deque<Object[]> stack = new ArrayDeque<>();
stack.push(new Object[]{root, new ArrayList<Integer>()});
while (!stack.isEmpty()) {
Object[] objs = stack.pop();
TreeNode curr = (TreeNode) objs[0];
List<Integer> vals_list = (List<Integer>) objs[1];
vals_list.add(curr.val);
if (curr.left == null && curr.right == null) {
paths.add(vals_list);
} else {
if (curr.right != null) {
stack.push(new Object[]{curr.right, new ArrayList<>(vals_list)});
}
if (curr.left != null) {
stack.push(new Object[]{curr.left, vals_list});
}
}
}
}
return paths.stream().map(v -> {
List<String> s = v.stream().map(String::valueOf).collect(Collectors.toList());
return String.join("->", s);
}).collect(Collectors.toList());
}方法 2: 广度优先搜索
Rust
///
/// Time Complexity: O(n^2)
/// Space Complexity: O(n^2)
///
pub fn binary_tree_paths(root: Option<Rc<RefCell<TreeNode>>>) -> Vec<String> {
let mut paths = vec![];
if let Some(root) = root {
let mut queue = VecDeque::from([(root, vec![])]);
while let Some((curr, mut vals_vec)) = queue.pop_front() {
vals_vec.push(curr.borrow().val);
let left = curr.borrow_mut().left.take();
let right = curr.borrow_mut().right.take();
match (left, right) {
(None, None) => {
paths.push(vals_vec);
}
(left, right) => {
if let Some(left) = left {
queue.push_back((left, vals_vec.clone()));
}
if let Some(right) = right {
queue.push_back((right, vals_vec));
}
}
}
}
}
paths
.into_iter()
.map(|v| {
v.into_iter()
.map(|val| val.to_string())
.collect::<Vec<_>>()
.join("->")
})
.collect()
}Java
/**
* Time Complexity: O(n^2)
* Space Complexity: O(n^2)
*/
public List<String> binaryTreePaths(TreeNode root) {
List<List<Integer>> paths = new ArrayList<>();
if (root != null) {
Deque<Object[]> queue = new ArrayDeque<>();
queue.addLast(new Object[]{root, new ArrayList<Integer>()});
while (!queue.isEmpty()) {
Object[] objs = queue.removeFirst();
TreeNode curr = (TreeNode) objs[0];
List<Integer> vals_list = (List<Integer>) objs[1];
vals_list.add(curr.val);
if (curr.left == null && curr.right == null) {
paths.add(vals_list);
} else {
if (curr.left != null) {
queue.addLast(new Object[]{curr.left, new ArrayList<>(vals_list)});
}
if (curr.right != null) {
queue.addLast(new Object[]{curr.right, vals_list});
}
}
}
}
return paths.stream().map(v -> {
List<String> s = v.stream().map(String::valueOf).collect(Collectors.toList());
return String.join("->", s);
}).collect(Collectors.toList());
}