515, 在每个树行中找最大值
2023/12/16大约 4 分钟
一、题目描述
给定一棵二叉树的根节点root,请找出该二叉树中每一层的最大值。
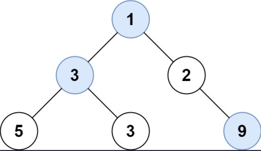
示例 1
输入: root = [1, 3, 2, 5, 3, null, 9]
输出: [1, 3, 9]
示例 2
输入: root = [1, 2, 3]
输出: [1, 3]
提示
- 二叉树的节点个数的范围是
[0,10⁴] -2³¹ <= Node.val <= 2³¹ - 1
相关主题
- 树
- 深度优先搜索
- 广度优先搜索
- 二叉树
二、题解
Rust节点定义
#[derive(Debug, PartialEq, Eq)]
pub struct TreeNode {
pub val: i32,
pub left: Option<Rc<RefCell<TreeNode>>>,
pub right: Option<Rc<RefCell<TreeNode>>>,
}
impl TreeNode {
#[inline]
pub fn new(val: i32) -> Self {
TreeNode {
val,
left: None,
right: None,
}
}
}Java节点定义
public class TreeNode {
int val;
TreeNode left;
TreeNode right;
TreeNode() {}
TreeNode(int val) { this.val = val; }
TreeNode(int val, TreeNode left, TreeNode right) {
this.val = val;
this.left = left;
this.right = right;
}
}方法 1: 深度优先搜索
Rust
pub fn largest_values(root: Option<Rc<RefCell<TreeNode>>>) -> Vec<i32> {
//Self::dfs_recur_pre_order(root)
//Self::dfs_iter_pre_order_1(root)
//Self::dfs_iter_pre_order_2(root)
Self::dfs_iter_pre_order_3(root)
}
///
/// 深度优先搜索 - 递归(前序遍历)
///
fn dfs_recur_pre_order(root: Option<Rc<RefCell<TreeNode>>>) -> Vec<i32> {
let mut res = vec![];
const PRE_ORDER: fn(Option<Rc<RefCell<TreeNode>>>, usize, &mut Vec<i32>) =
|root, level, res| {
if let Some(curr) = root {
if level == res.len() {
res.push(i32::MIN);
}
let curr_val = curr.borrow().val;
if res[level] < curr_val {
res[level] = curr_val;
}
PRE_ORDER(curr.borrow_mut().left.take(), level + 1, res);
PRE_ORDER(curr.borrow_mut().right.take(), level + 1, res);
}
};
PRE_ORDER(root, 0, &mut res);
res
}
///
/// 深度优先搜索 - 迭代(前序遍历)
///
fn dfs_iter_pre_order_1(root: Option<Rc<RefCell<TreeNode>>>) -> Vec<i32> {
let mut res = vec![];
let mut root = (root, 0);
let mut stack = vec![];
while root.0.is_some() || !stack.is_empty() {
while let Some(curr) = root.0 {
let level = root.1;
if level == res.len() {
res.push(i32::MIN);
}
let curr_val = curr.borrow().val;
if res[level] < curr_val {
res[level] = curr_val;
}
root = (curr.borrow_mut().left.take(), level + 1);
stack.push((curr, level));
}
if let Some((curr, level)) = stack.pop() {
root = (curr.borrow_mut().right.take(), level + 1);
}
}
res
}
///
/// 深度优先搜索 - 迭代(前序遍历)
///
fn dfs_iter_pre_order_2(root: Option<Rc<RefCell<TreeNode>>>) -> Vec<i32> {
let mut res = vec![];
let mut root = (root, 0);
let mut stack = vec![];
while root.0.is_some() || !stack.is_empty() {
if let Some(curr) = root.0 {
let level = root.1;
if level == res.len() {
res.push(i32::MIN);
}
let curr_val = curr.borrow().val;
if res[level] < curr_val {
res[level] = curr_val;
}
root = (curr.borrow_mut().left.take(), level + 1);
stack.push((curr, level));
} else {
if let Some((curr, level)) = stack.pop() {
root = (curr.borrow_mut().right.take(), level + 1);
}
}
}
res
}
///
/// 深度优先搜索 - 迭代(前序遍历)
///
fn dfs_iter_pre_order_3(root: Option<Rc<RefCell<TreeNode>>>) -> Vec<i32> {
let mut res = vec![];
if let Some(root) = root {
let mut stack = vec![(Ok(root), 0)];
while let Some((curr, level)) = stack.pop() {
match curr {
Ok(node) => {
if let Some(right) = node.borrow_mut().right.take() {
stack.push((Ok(right), level + 1));
}
if let Some(left) = node.borrow_mut().left.take() {
stack.push((Ok(left), level + 1));
}
stack.push((Err(node.borrow().val), level));
}
Err(curr_val) => {
if level == res.len() {
res.push(i32::MIN);
}
if res[level] < curr_val {
res[level] = curr_val;
}
}
}
}
}
res
}Java
public List<Integer> largestValues(TreeNode root) {
//return this.dfsRecurPreOrder(root);
return this.dfsIterPreOrder3(root);
}
@FunctionalInterface
interface TriConsumer<P1, P2, P3> {
void accept(P1 p1, P2 p2, P3 p3);
}
TriConsumer<TreeNode, Integer, List<Integer>> preOrder = (root, level, res) -> {
if (root == null) {
return;
}
if (level == res.size()) {
res.add(Integer.MIN_VALUE);
}
int currVal = root.val;
if (res.get(level) < currVal) {
res.set(level, currVal);
}
if (root.left != null) {
this.preOrder.accept(root.left, level + 1, res);
}
if (root.right != null) {
this.preOrder.accept(root.right, level + 1, res);
}
};
/**
* 深度优先搜索 - 递归(前序遍历)
*/
List<Integer> dfsRecurPreOrder(TreeNode root) {
List<Integer> res = new ArrayList<>();
this.preOrder.accept(root, 0, res);
return res;
}
/**
* 深度优先搜索 - 迭代(前序遍历)
*/
List<Integer> dfsIterPreOrder3(TreeNode root) {
List<Integer> res = new ArrayList<>();
if (root != null) {
Deque<Object[]> stack = new ArrayDeque<>() {{
this.push(new Object[]{root, 0});
}};
while (!stack.isEmpty()) {
Object[] pop = stack.pop();
Object curr = pop[0];
int level = (int) pop[1];
switch (curr) {
case TreeNode node -> {
if (node.right != null) {
stack.push(new Object[]{node.right, level + 1});
}
if (node.left != null) {
stack.push(new Object[]{node.left, level + 1});
}
stack.push(new Object[]{node.val, level});
}
case Integer currVal -> {
if (level == res.size()) {
res.add(Integer.MIN_VALUE);
}
if (res.get(level) < currVal) {
res.set(level, currVal);
}
}
default -> throw new IllegalStateException("Unexpected value: " + curr);
}
}
}
return res;
}方法 2: 广度优先搜索
Rust
pub fn largest_values(root: Option<Rc<RefCell<TreeNode>>>) -> Vec<i32> {
//Self::bfs_iter_1(root)
Self::bfs_iter_2(root)
}
///
/// 广度优先搜索 - 迭代(层序遍历)
///
fn bfs_iter_1(root: Option<Rc<RefCell<TreeNode>>>) -> Vec<i32> {
let mut res = vec![];
if let Some(root) = root {
let mut queue = VecDeque::from([(root, 0)]);
while let Some((curr, level)) = queue.pop_front() {
if level == res.len() {
res.push(i32::MIN);
}
let curr_val = curr.borrow().val;
if res[level] < curr_val {
res[level] = curr_val;
}
if let Some(left) = curr.borrow_mut().left.take() {
queue.push_back((left, level + 1));
}
if let Some(right) = curr.borrow_mut().right.take() {
queue.push_back((right, level + 1));
}
}
}
res
}
///
/// 广度优先搜索 - 迭代(层序遍历)
///
fn bfs_iter_2(root: Option<Rc<RefCell<TreeNode>>>) -> Vec<i32> {
let mut res = vec![];
if let Some(root) = root {
let mut queue = VecDeque::from([root]);
while !queue.is_empty() {
let level_len = queue.len();
let mut level_largest = i32::MIN;
for _ in 0..level_len {
if let Some(curr) = queue.pop_front() {
let curr_val = curr.borrow().val;
if curr_val > level_largest {
level_largest = curr_val;
}
if let Some(left) = curr.borrow_mut().left.take() {
queue.push_back(left);
}
if let Some(right) = curr.borrow_mut().right.take() {
queue.push_back(right);
}
}
}
res.push(level_largest);
}
}
res
}Java
public List<Integer> largestValues(TreeNode root) {
return this.bfsIter2(root);
}
/**
* 广度优先搜索 - 迭代(层序遍历)
*/
List<Integer> bfsIter2(TreeNode root) {
List<Integer> res = new ArrayList<>();
if (root != null) {
Deque<TreeNode> queue = new ArrayDeque<>() {{
this.addLast(root);
}};
while (!queue.isEmpty()) {
int levelSize = queue.size();
int levelLargest = Integer.MIN_VALUE;
for (int i = 0; i < levelSize; i++) {
TreeNode curr = queue.removeFirst();
if (curr.val > levelLargest) {
levelLargest = curr.val;
}
if (curr.left != null) {
queue.addLast(curr.left);
}
if (curr.right != null) {
queue.addLast(curr.right);
}
}
res.add(levelLargest);
}
}
return res;
}