701, 二叉搜索树中的插入操作
2024/1/16大约 3 分钟
一、题目描述
给定二叉搜索树(BST)的根节点root和要插入树中的值value,将值插入二叉搜索树。返回插入后二叉搜索树的根节点。输入数据保证新值和原始二叉搜索树中的任意节点值都不同。
注意:可能存在多种有效的插入方式,只要树在插入后仍保持为二叉搜索树即可。你可以返回任意有效的结果。
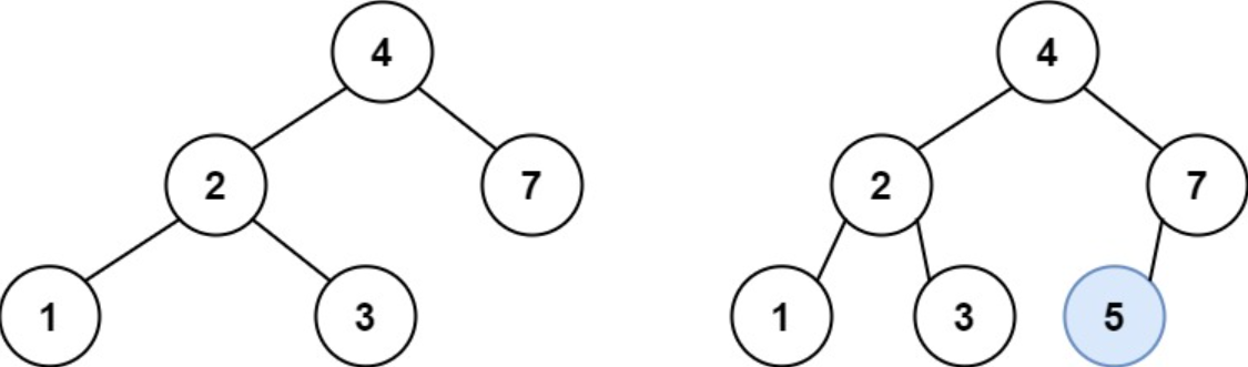
示例 1
输入: root = [4, 2, 7, 1, 3], val = 5
输出: [4, 2, 7, 1, 3, 5]
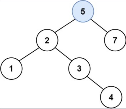
解释: 另一个满足题目要求可以通过的树是:
示例 2
输入: root = [40, 20, 60, 10, 30, 50, 70], val = 25
输出: [40, 20, 60, 10, 30, 50, 70, null, null, 25]
示例 3
输入: root = [4, 2, 7, 1, 3, null, null, null, null, null, null], val = 5
输出: [4, 2, 7, 1, 3, 5]
提示
- 树中的节点数将在
[0, 10⁴]的范围内。 -10⁸ <= Node.val <= 10⁸- 所有值
Node.val是独一无二的。 -10⁸ <= val <= 10⁸- 保证
val在原始BST中不存在。
相关主题
- 树
- 二叉搜索树
- 二叉树
二、题解
Rust节点定义
#[derive(Debug, PartialEq, Eq)]
pub struct TreeNode {
pub val: i32,
pub left: Option<Rc<RefCell<TreeNode>>>,
pub right: Option<Rc<RefCell<TreeNode>>>,
}
impl TreeNode {
#[inline]
pub fn new(val: i32) -> Self {
TreeNode {
val,
left: None,
right: None,
}
}
}Java节点定义
public class TreeNode {
int val;
TreeNode left;
TreeNode right;
TreeNode() {}
TreeNode(int val) { this.val = val; }
TreeNode(int val, TreeNode left, TreeNode right) {
this.val = val;
this.left = left;
this.right = right;
}
}方法 1: 递归
Rust
pub fn insert_into_bst(root: Option<Rc<RefCell<TreeNode>>>, val: i32) -> Option<Rc<RefCell<TreeNode>>> {
//Self::recur_helper_1(root, val
Self::recur_helper_2(root, val)
}
fn recur_helper_1(root: Option<Rc<RefCell<TreeNode>>>, val: i32) -> Option<Rc<RefCell<TreeNode>>> {
let new = Some(Rc::new(RefCell::new(TreeNode::new(val))));
if root.is_none() {
return new;
}
const TRAVERSAL: fn(Option<Rc<RefCell<TreeNode>>>, i32, Option<Rc<RefCell<TreeNode>>>) =
|root, val, new| {
if let Some(curr) = root {
let curr_val = curr.borrow().val;
if val > curr_val {
let right = curr.borrow().right.clone();
if right.is_some() {
TRAVERSAL(right, val, new);
} else {
curr.borrow_mut().right = new;
}
} else {
let left = curr.borrow().left.clone();
if left.is_some() {
TRAVERSAL(left, val, new);
} else {
curr.borrow_mut().left = new;
}
}
}
};
TRAVERSAL(root.clone(), val, new);
root
}
fn recur_helper_2(root: Option<Rc<RefCell<TreeNode>>>, val: i32) -> Option<Rc<RefCell<TreeNode>>> {
const TRAVERSAL: fn(Option<Rc<RefCell<TreeNode>>>, i32) -> Option<Rc<RefCell<TreeNode>>> =
|root, val| match root {
None => Some(Rc::new(RefCell::new(TreeNode::new(val)))),
Some(curr) => {
let curr_val = curr.borrow().val;
if val > curr_val {
let right = curr.borrow_mut().right.take();
curr.borrow_mut().right = TRAVERSAL(right, val);
} else {
let left = curr.borrow_mut().left.take();
curr.borrow_mut().left = TRAVERSAL(left, val);
}
Some(curr)
}
};
TRAVERSAL(root, val)
}Java
public TreeNode insertIntoBST(TreeNode root, int val) {
//return this.recurHelper1(root, val);
return this.recurHelper2(root, val);
}
BiConsumer<TreeNode, TreeNode> traversal1 = (root, newNode) -> {
if (root == null) {
return;
}
if (newNode.val > root.val) {
TreeNode right = root.right;
if (right != null) {
this.traversal1.accept(right, newNode);
} else {
root.right = newNode;
}
} else {
TreeNode left = root.left;
if (left != null) {
this.traversal1.accept(left, newNode);
} else {
root.left = newNode;
}
}
};
TreeNode recurHelper1(TreeNode root, int val) {
TreeNode node = new TreeNode(val);
if (root == null) {
return node;
}
this.traversal1.accept(root, node);
return root;
}
BiFunction<TreeNode, Integer, TreeNode> traversal2 = (root, val) -> {
if (root == null) {
return new TreeNode(val);
}
if (val > root.val) {
root.right = this.traversal2.apply(root.right, val);
} else {
root.left = this.traversal2.apply(root.left, val);
}
return root;
};
TreeNode recurHelper2(TreeNode root, int val) {
return this.traversal2.apply(root, val);
}方法 2: 迭代
Rust
pub fn insert_into_bst(root: Option<Rc<RefCell<TreeNode>>>, val: i32) -> Option<Rc<RefCell<TreeNode>>> {
//Self::iter_helper_1(root, val)
Self::iter_helper_2(root, val)
}
fn iter_helper_1(root: Option<Rc<RefCell<TreeNode>>>, val: i32) -> Option<Rc<RefCell<TreeNode>>> {
let new = Some(Rc::new(RefCell::new(TreeNode::new(val))));
if root.is_none() {
return new;
}
let mut root_node = root.clone();
while let Some(curr) = root_node {
let curr_val = curr.borrow().val;
let (next, is_right) = if val > curr_val {
(curr.borrow().right.clone(), true)
} else {
(curr.borrow().left.clone(), false)
};
if next.is_some() {
root_node = next;
} else {
if is_right {
curr.borrow_mut().right = new;
} else {
curr.borrow_mut().left = new;
}
break;
}
}
root
}
fn iter_helper_2(root: Option<Rc<RefCell<TreeNode>>>, val: i32) -> Option<Rc<RefCell<TreeNode>>> {
let new = Some(Rc::new(RefCell::new(TreeNode::new(val))));
if root.is_none() {
return new;
}
let mut root_node = root.clone();
while let Some(curr) = root_node {
let curr_val = curr.borrow().val;
if val > curr_val {
let right = curr.borrow().right.clone();
if right.is_some() {
root_node = right;
} else {
curr.borrow_mut().right = new;
break;
}
} else {
let left = curr.borrow().left.clone();
if left.is_some() {
root_node = left;
} else {
curr.borrow_mut().left = new;
break;
}
}
}
root
}Java
public TreeNode insertIntoBST(TreeNode root, int val) {
//return this.iterHelper1(root, val);
return this.iterHelper2(root, val);
}
TreeNode iterHelper1(TreeNode root, int val) {
TreeNode node = new TreeNode(val);
if (root == null) {
return node;
}
TreeNode rootNode = root;
while (rootNode != null) {
TreeNode next;
boolean isRight;
if (val > rootNode.val) {
next = rootNode.right;
isRight = true;
} else {
next = rootNode.left;
isRight = false;
}
if (next != null) {
rootNode = next;
} else {
if (isRight) {
rootNode.right = node;
} else {
rootNode.left = node;
}
break;
}
}
return root;
}
TreeNode iterHelper2(TreeNode root, int val) {
TreeNode node = new TreeNode(val);
if (root == null) {
return node;
}
TreeNode curr = root;
while (curr != null) {
if (val > curr.val) {
TreeNode right = curr.right;
if (right != null) {
curr = right;
} else {
curr.right = node;
break;
}
} else {
TreeNode left = curr.left;
if (left != null) {
curr = left;
} else {
curr.left = node;
break;
}
}
}
return root;
}