700, 二叉搜索树中的搜索
2024/1/7大约 2 分钟
一、题目描述
给定二叉搜索树(BST)的根节点root和一个整数值val。
你需要在BST中找到节点值等于val的节点。返回以该节点为根的子树。如果节点不存在,则返回null。
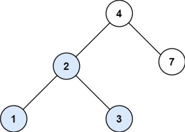
示例 1
输入: root = [4, 2, 7, 1, 3], val = 2
输出: [2, 1, 3]
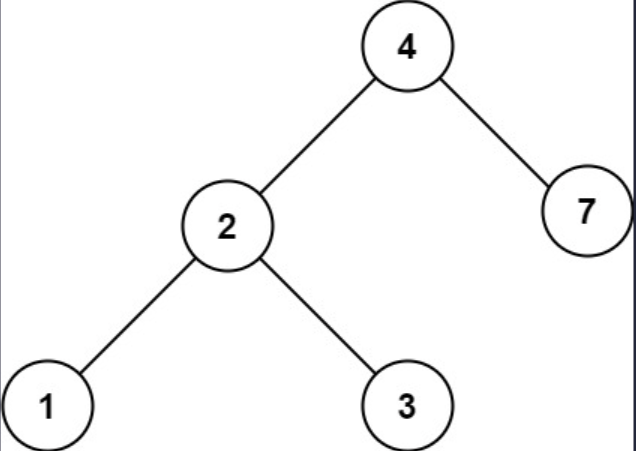
示例 2
输入: root = [4, 2, 7, 1, 3], val = 5
输出: []
提示
- 树中节点数在
[1, 5000]范围内 1 <= Node.val <= 10⁷root是二叉搜索树1 <= val <= 10⁷
相关主题
- 树
- 二叉搜索树
- 二叉树
二、题解
Rust节点定义
#[derive(Debug, PartialEq, Eq)]
pub struct TreeNode {
pub val: i32,
pub left: Option<Rc<RefCell<TreeNode>>>,
pub right: Option<Rc<RefCell<TreeNode>>>,
}
impl TreeNode {
#[inline]
pub fn new(val: i32) -> Self {
TreeNode {
val,
left: None,
right: None,
}
}
}Java节点定义
public class TreeNode {
int val;
TreeNode left;
TreeNode right;
TreeNode() {}
TreeNode(int val) { this.val = val; }
TreeNode(int val, TreeNode left, TreeNode right) {
this.val = val;
this.left = left;
this.right = right;
}
}方法 1: 递归
Rust
///
/// 时间复杂度: O(n)
/// 空间复杂度: O(n)
///
pub fn search_bst(root: Option<Rc<RefCell<TreeNode>>>, val: i32) -> Option<Rc<RefCell<TreeNode>>> {
const SEARCH: fn(Option<Rc<RefCell<TreeNode>>>, i32) -> Option<Rc<RefCell<TreeNode>>> =
|root, val| match root {
None => None,
Some(curr) => {
let curr_val = curr.borrow().val;
let left = curr.borrow().left.clone();
let right = curr.borrow().right.clone();
if val > curr_val {
SEARCH(right, val)
} else if val < curr_val {
SEARCH(left, val)
} else {
Some(curr)
}
}
};
SEARCH(root, val)
}Java
BiFunction<TreeNode, Integer, TreeNode> search = (curr, val) -> {
if (curr == null) {
return null;
}
if (val > curr.val) {
return this.search.apply(curr.right, val);
} else if (val < curr.val) {
return this.search.apply(curr.left, val);
} else {
return curr;
}
};
/**
* 时间复杂度:O(n)
* 空间复杂度:O(n)
*/
public TreeNode searchBST(TreeNode root, int val) {
return this.search.apply(root, val);
}方法 2: 迭代
Rust
///
/// 时间复杂度: O(n)
/// 空间复杂度: O(1)
///
pub fn search_bst(mut root: Option<Rc<RefCell<TreeNode>>>, val: i32) -> Option<Rc<RefCell<TreeNode>>> {
while let Some(curr) = root {
let curr_val = curr.borrow().val;
let left = curr.borrow().left.clone();
let right = curr.borrow().right.clone();
if val > curr_val {
root = right;
} else if val < curr_val {
root = left;
} else {
return Some(curr);
}
}
None
}Java
/**
* 时间复杂度:O(n)
* 空间复杂度:O(1)
*/
public TreeNode searchBST(TreeNode root, int val) {
while (root != null) {
if (val > root.val) {
root = root.right;
} else if (val < root.val) {
root = root.left;
} else {
return root;
}
}
return null;
}