Binary Tree
Binary Tree
Definition
In computer science, a binary tree is a tree data structure in which each node has at most two children, referred to as the left child and the right child. That is, it is a k-ary tree with k = 2. A recursive definition using set theory is that a binary tree is a tuple (L, S, R), where L and R are binary trees or the empty set and S is a singleton set containing the root.
Definition in Graph Theory
From a graph theory perspective, binary trees as defined here are arborescences. A binary tree may thus be also called a bifurcating arborescence, a term which appears in some very old programming books before the modern computer science terminology prevailed. It is also possible to interpret a binary tree as an undirected, rather than directed graph, in which case a binary tree is an ordered, rooted tree. Some authors use rooted binary tree instead of binary tree to emphasize the fact that the tree is rooted, but as defined above, a binary tree is always rooted.
Types of Binary Trees
Full Binary Tree: A full binary tree (sometimes referred to as a proper, plane, or strict binary tree) is a tree in which every node has either 0 or 2 children. Another way of defining a full binary tree is a recursive definition. A full binary tree is either:
- A single vertex (a single node as the root node).
- A tree whose root node has two subtrees, both of which are full binary trees.

Perfect Binary Tree: A perfect binary tree is a binary tree in which all interior nodes have two children and all leaves have the same depth or same level (the level of a node defined as the number of edges or links from the root node to a node). A perfect binary tree is a full binary tree.

Complete Binary Tree: A complete binary tree is a binary tree in which every level, except possibly the last, is completely filled, and all nodes in the last level are as far left as possible. It can have between 1 and 2^h nodes at the last level h. A perfect tree is therefore always complete but a complete tree is not always perfect.

Degenerate Tree: A degenerate (or pathological) tree is where each parent node has only one associated child node. This means that the tree will behave like a linked list data structure.

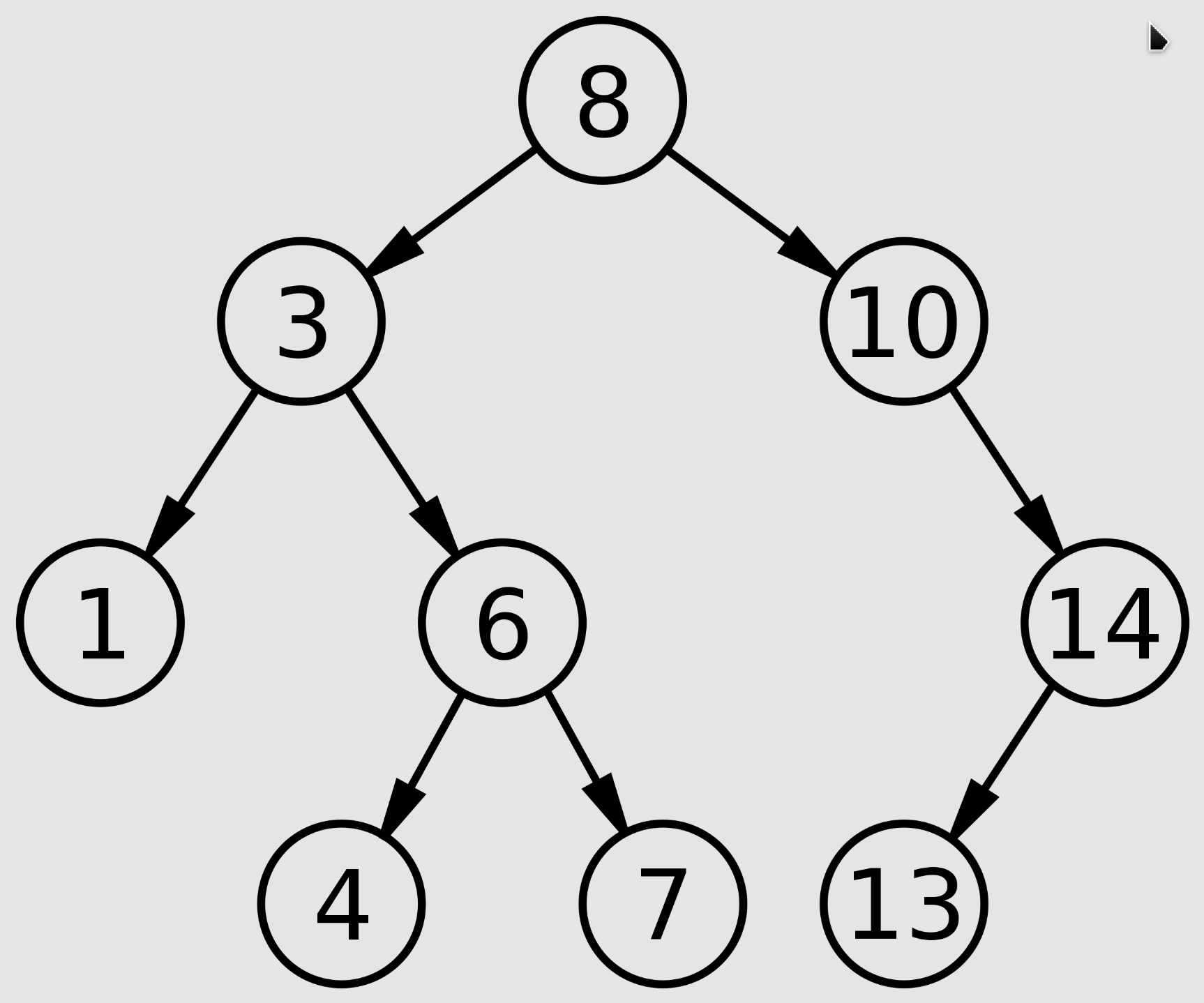
Binary Search Tree: an ordered or sorted binary tree, is a rooted binary tree data structure with the key of each internal node being greater than all the keys in the respective node's left subtree and less than the ones in its right subtree.

AVL: an AVL tree (named after inventors Adelson-Velsky and Landis) is a self-balancing binary search tree. In an AVL tree, the heights of the two child subtrees of any node differ by at most one; if at any time they differ by more than one, rebalancing is done to restore this property.

Red Black Tree: a red–black tree is a specialised binary search tree, compared to other self-balancing binary search trees, the nodes in a red-black tree hold an extra bit called "color" representing "red" and "black" which is used when re-organising the tree to ensure that it is always approximately balanced. It has the following properties:
- Every node is either red or black.
- All NIL nodes are considered black.
- A red node does not have a red child.
- Every path from a given node to any of its descendant NIL nodes goes through the same number of black nodes.
- If a node N has exactly one child, it must be a red child.

Properties of Binary Trees
The number of nodes
nin a full binary tree is at least2ℎ + 1and at most2^(ℎ+1) − 1(i.e., the number of nodes in a perfect binary tree), whereℎis the height of the tree. A tree consisting of only a root node has a height of 0. For a perfect tree, the number of nodes is1 + 2 + 4 + … + 2^ℎ = 2^(ℎ+1) − 1.The number of leaf nodes
lin a perfect binary tree is(n + 1) / 2(wherenis the number of nodes in the tree).For any non-empty binary tree with
lleaf nodes andi2nodes of degree 2 (internal nodes with two child nodes),l = i2 + 1.With given
nnodes, the minimum possible tree height isℎ = log2(n + 1) − 1with which the tree is a balanced full tree or perfect tree.A binary Tree with
lleaves has at least the heightℎ = log2(l).In a non-empty binary tree, if
nis the total number of nodes andeis the total number of edges, thene = n − 1.The number of null links (i.e., absent children of the nodes) in a binary tree of
nnodes is(n + 1).The number of internal nodes in a complete binary tree of
nnodes is⌊n/2⌋.
Operations of Binary Trees
Insertion
- Leaf nodes
- Internal nodes

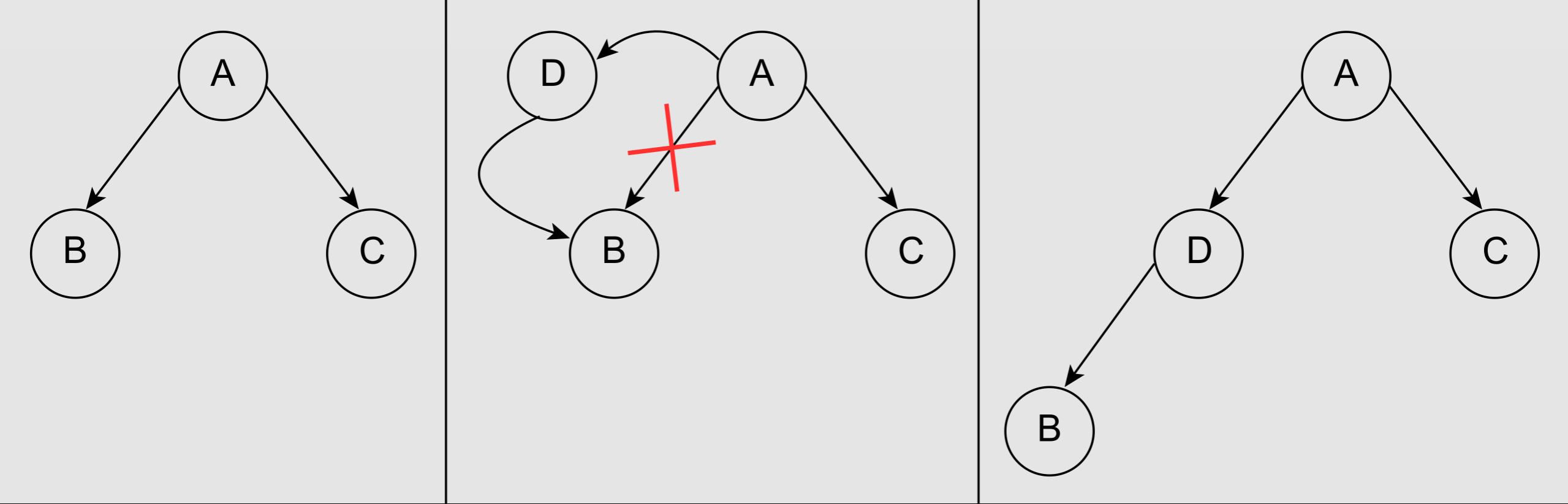
Deletion
- Node with zero or one children
- Node with two children

Traversal
Depth First Search(DFS)

- Pre-order(NLR), node visited at position red ●: F, B, A, D, C, E, G, I, H
procedure pre_order(node)
if node = null
return
visit(node)
pre_order(node.left)
pre_order(node.right)procedure pre_order(node)
if node = null
return
stack ← empty stack
stack.push(node)
while not stack.isEmpty()
node ← stack.pop()
visit(node)
// right child is pushed first so that left is processed first
if node.right ≠ null
stack.push(node.right)
if node.left ≠ null
stack.push(node.left)- In-order(LNR), node visited at position green ●: A, B, C, D, E, F, G, H, I
procedure in_order(node)
if node = null
return
in_order(node.left)
visit(node)
in_order(node.right)procedure in_order(node)
stack ← empty stack
while not stack.isEmpty() or node ≠ null
if node ≠ null
stack.push(node)
node ← node.left
else
node ← stack.pop()
visit(node)
node ← node.right- Post-order(LRN), node visited at position blue ●: A, C, E, D, B, H, I, G, F
procedure post_order(node)
if node = null
return
post_order(node.left)
post_order(node.right)
visit(node)procedure post_order(node)
stack ← empty stack
lastNodeVisited ← null
while not stack.isEmpty() or node ≠ null
if node ≠ null
stack.push(node)
node ← node.left
else
peekNode ← stack.peek()
// if right child exists and traversing node
// from left child, then move right
if peekNode.right ≠ null and lastNodeVisited ≠ peekNode.right
node ← peekNode.right
else
visit(peekNode)
lastNodeVisited ← stack.pop()Breadth First Search(BFS)

- Level-order: F, B, G, A, D, I, C, E, H
procedure level_order(node)
queue ← empty queue
queue.enqueue(node)
while not queue.isEmpty()
node ← queue.dequeue()
visit(node)
if node.left ≠ null
queue.enqueue(node.left)
if node.right ≠ null
queue.enqueue(node.right)Complexity in Big O Notation
Time Complexity
| Operation | Average | Worst case |
|---|---|---|
| Search | O(log(n)) | O(n) |
| Insert | O(log(n)) | O(n) |
| Delete | O(log(n)) | O(n) |
Space Complexity
| Operation | Average | Worst case |
|---|---|---|
| Space | O(n) | O(n) |
Exercise
Traversal of Binary Trees
144: Binary Tree Pre-order Traversal
94: Binary Tree In-order Traversal
145: Binary Tree Post-order Traversal
102: Binary Tree Level Order Traversal
Level Order Traversal
107: Binary Tree Level Order Traversal II
199: Binary Tree Right Side View
637: Average of Levels in Binary Tree
429: N-ary Tree Level Order Traversal
515: Find Largest Value in Each Tree Row
116: Populating Next Right Pointers in Each Node
117: Populating Next Right Pointers in Each Node II
Properties of Binary Trees
101: Symmetric Tree
104: Maximum Depth of Binary Tree
111: Minimum Depth of Binary Tree
222: Count Complete Tree Nodes
110: Balanced Binary Tree
257: Binary Tree Paths
404: Sum of Left Leaves
513: Find Bottom Left Tree Value
112: Path Sum
113: Path Sum II
Operations of Binary Trees
226: Invert Binary Tree
105: Construct Binary Tree from Pre-order and In-order Traversal
106: Construct Binary Tree from Post-order and In-order Traversal
654: Maximum Binary Tree
617: Merge Two Binary Trees
Properties of Binary Search Trees
700: Search in a Binary Search Tree
98: Validate Binary Search Tree
530: Minimum Absolute Difference in BST
501: Find Mode in Binary Search Tree
538: Convert BST to Greater Tree
Common Ancestor of Binary Trees
236: Lowest Common Ancestor of a Binary Tree
235: Lowest Common Ancestor of a Binary Search Tree
Operations of Binary Search Trees
701: Insert into a Binary Search Tree
450: Delete Node in a BST
669: Trim a Binary Search Tree
108: Convert Sorted Array to Binary Search Tree
109: Convert Sorted List to Binary Search Tree
Other
100: Same Tree
572: Subtree of Another Tree
559: Maximum Depth of N-ary Tree