450, Delete Node in a BST
I Problem
Given a root node reference of a BST and a key, delete the node with the given key in the BST. Return the root node reference (possibly updated) of the BST.
Basically, the deletion can be divided into two stages:
- Search for a node to remove.
- If the node is found, delete the node.
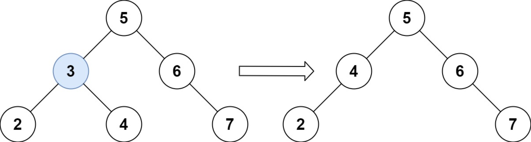
Example 1
Input: root = [5, 3, 6, 2, 4, null, 7], key = 3
Output: [5, 4, 6, 2, null, null, 7]
Explanation: Given key to delete is 3. So we find the node with value 3 and delete it.
One valid answer is [5, 4, 6, 2, null, null, 7], shown in the above BST.
Please notice that another valid answer is [5, 2, 6, null, 4, null, 7] and it's also accepted.
Example 2
Input: root = [5, 3, 6, 2, 4, null, 7], key = 0
Output: [5, 3, 6, 2, 4, null, 7]
Explanation: The tree does not contain a node with value = 0.
Example 3
Input: root = [], key = 0
Output: []
Constraints
- The number of nodes in the tree is in the range
[0, 10⁴]. -10⁵ <= Node.val <= 10⁵- Each node has a unique value.
rootis a valid binary search tree.-10⁵ <= key <= 10⁵
Follow up
Could you solve it with time complexity O(height of tree)?
Related Topics
- Tree
- Binary Tree
- Binary Search Tree
II Solution
#[derive(Debug, PartialEq, Eq)]
pub struct TreeNode {
pub val: i32,
pub left: Option<Rc<RefCell<TreeNode>>>,
pub right: Option<Rc<RefCell<TreeNode>>>,
}
impl TreeNode {
#[inline]
pub fn new(val: i32) -> Self {
TreeNode {
val,
left: None,
right: None,
}
}
}public class TreeNode {
int val;
TreeNode left;
TreeNode right;
TreeNode() {}
TreeNode(int val) { this.val = val; }
TreeNode(int val, TreeNode left, TreeNode right) {
this.val = val;
this.left = left;
this.right = right;
}
}Approach 1: Recursion
pub fn delete_node(mut root: Option<Rc<RefCell<TreeNode>>>, key: i32) -> Option<Rc<RefCell<TreeNode>>> {
const DELETE: fn(&mut Option<Rc<RefCell<TreeNode>>>, i32, Option<Rc<RefCell<TreeNode>>>, bool) =
|root, key, mut parent, is_left| {
if let Some(curr) = root {
let curr_val = curr.borrow().val;
if curr_val == key {
let right = curr.borrow_mut().right.take();
let left = curr.borrow_mut().left.take();
let child = if right.is_some() {
let mut leftmost = right.clone();
while let Some(ref curr) = leftmost {
let left = curr.borrow().left.clone();
if left.is_none() {
break;
} else {
leftmost = left;
}
}
if let Some(curr) = leftmost {
curr.borrow_mut().left = left;
}
right
} else {
left
};
if let Some(p) = parent {
if is_left {
p.borrow_mut().left = child;
} else {
p.borrow_mut().right = child;
}
} else {
*root = child;
}
} else {
parent = Some(curr.clone());
if key < curr_val {
let mut left = curr.borrow().left.clone();
DELETE(&mut left, key, parent, true)
} else {
let mut right = curr.borrow().right.clone();
DELETE(&mut right, key, parent, false)
}
}
}
};
DELETE(&mut root, key, None, false);
root
}@FunctionalInterface
interface QuadrConsumer<A, B, C, D> {
void accept(A a, B b, C c, D d);
}
QuadrConsumer<TreeNode[], Integer, TreeNode, Boolean> delete = (roots, key, parent, isLeft) -> {
TreeNode root = roots[0];
if (root == null) {
return;
}
if (root.val == key) {
TreeNode child;
if (root.right != null) {
child = root.right;
TreeNode leftmost = root.right;
while (leftmost.left != null) {
leftmost = leftmost.left;
}
leftmost.left = root.left;
} else {
child = root.left;
}
if (parent == null) {
roots[0] = child;
} else {
if (isLeft) {
parent.left = child;
} else {
parent.right = child;
}
}
} else {
if (key < root.val) {
this.delete.accept(new TreeNode[]{root.left}, key, root, true);
} else {
this.delete.accept(new TreeNode[]{root.right}, key, root, false);
}
}
};
public TreeNode deleteNode(TreeNode _root, int key) {
TreeNode[] root = {_root};
this.delete.accept(root, key, null, false);
return root[0];
}Approach 2: Iteration
pub fn delete_node(mut root: Option<Rc<RefCell<TreeNode>>>, key: i32) -> Option<Rc<RefCell<TreeNode>>> {
let mut parent: Option<Rc<RefCell<TreeNode>>> = None;
let mut is_left = false;
let mut curr_node = root.clone();
while let Some(curr) = curr_node {
let curr_val = curr.borrow().val;
if curr_val == key {
let left = curr.borrow_mut().left.take();
let right = curr.borrow_mut().right.take();
let child = if right.is_some() {
let mut leftmost = right.clone();
while let Some(ref curr) = leftmost {
let left = curr.borrow().left.clone();
if left.is_none() {
break;
}
leftmost = left;
}
if let Some(curr) = leftmost {
curr.borrow_mut().left = left;
}
right
} else {
left
};
if let Some(p) = parent {
if is_left {
p.borrow_mut().left = child;
} else {
p.borrow_mut().right = child;
}
} else {
root = child;
}
break;
} else {
parent = Some(curr.clone());
if key < curr_val {
is_left = true;
curr_node = curr.borrow().left.clone();
} else {
is_left = false;
curr_node = curr.borrow().right.clone();
}
}
}
root
}public TreeNode deleteNode(TreeNode root, int key) {
TreeNode parent = null;
boolean isLeft = false;
TreeNode curr = root;
while (curr != null) {
if (curr.val == key) {
TreeNode child;
if (curr.right != null) {
child = curr.right;
TreeNode leftmost = curr.right;
while (leftmost.left != null) {
leftmost = leftmost.left;
}
leftmost.left = curr.left;
} else {
child = curr.left;
}
if (parent == null) {
root = child;
} else {
if (isLeft) {
parent.left = child;
} else {
parent.right = child;
}
}
break;
} else {
parent = curr;
if (key < curr.val) {
isLeft = true;
curr = curr.left;
} else {
isLeft = false;
curr = curr.right;
}
}
}
return root;
}