110, Balanced Binary Tree
12/25/23About 2 min
I Problem
Given a binary tree, determine if it is height-balanced.
Example 1
Input: root = [3, 9, 20, null, null, 15, 7]
Output: true
Example 2
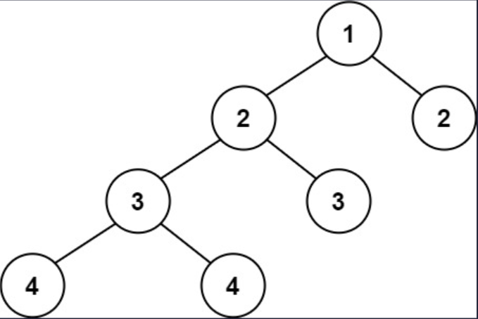
Input: root = [1, 2, 2, 3, 3, null, null, 4, 4]
Output: false
Example 3
Input: root = []
Output: true
Constraints
- The number of nodes in the tree is in the range
[0, 5000]. -10⁴ <= Node.val <= 10⁴
Related Topics
- Tree
- Depth-First Search
- Binary Tree
II Solution
Rust Node Definition
#[derive(Debug, PartialEq, Eq)]
pub struct TreeNode {
pub val: i32,
pub left: Option<Rc<RefCell<TreeNode>>>,
pub right: Option<Rc<RefCell<TreeNode>>>,
}
impl TreeNode {
#[inline]
pub fn new(val: i32) -> Self {
TreeNode {
val,
left: None,
right: None,
}
}
}Java Node Definition
public class TreeNode {
int val;
TreeNode left;
TreeNode right;
TreeNode() {}
TreeNode(int val) { this.val = val; }
TreeNode(int val, TreeNode left, TreeNode right) {
this.val = val;
this.left = left;
this.right = right;
}
}Approach 1: Top-down Recursion
Rust
///
/// Time Complexity: O(n^2)
/// Space Complexity: O(n)
///
pub fn is_balanced(root: Option<Rc<RefCell<TreeNode>>>) -> bool {
const CALC_HEIGHT: fn(Option<Rc<RefCell<TreeNode>>>) -> i32 = |root| match root {
None => 0,
Some(curr) => {
std::cmp::max(
CALC_HEIGHT(curr.borrow().left.clone()),
CALC_HEIGHT(curr.borrow().right.clone()),
) + 1
}
};
const CHECK_BALANCE: fn(Option<Rc<RefCell<TreeNode>>>) -> bool = |root| match root {
None => true,
Some(curr) => {
let left = curr.borrow_mut().left.take();
let right = curr.borrow_mut().right.take();
let l_height = CALC_HEIGHT(left.clone());
let r_height = CALC_HEIGHT(right.clone());
if (l_height - r_height).abs() > 1 {
return false;
}
CHECK_BALANCE(left) && CHECK_BALANCE(right)
}
};
CHECK_BALANCE(root)
}Java
Function<TreeNode, Integer> calc_height = root -> {
if (root == null) {
return 0;
}
return Math.max(this.calc_height.apply(root.left), this.calc_height.apply(root.right)) + 1;
};
Predicate<TreeNode> check_balance = root -> {
if (root == null) {
return true;
}
int l_height = this.calc_height.apply(root.left);
int r_height = this.calc_height.apply(root.right);
if (Math.abs(l_height - r_height) > 1) {
return false;
}
return this.check_balance.test(root.left) && this.check_balance.test(root.right);
};
/**
* Time Complexity: O(n^2)
* Space Complexity: O(n)
*/
public boolean isBalanced(TreeNode root) {
return this.check_balance.test(root);
}Approach 2: Bottom-up Recursion
Rust
///
/// Time Complexity: O(n)
/// Space Complexity: O(n)
///
pub fn is_balanced(root: Option<Rc<RefCell<TreeNode>>>) -> bool {
const RECUR_HELPER: fn(Option<Rc<RefCell<TreeNode>>>) -> (i32, bool) = |root| match root {
None => (0, true),
Some(curr) => {
let (l_height, l_bal) = RECUR_HELPER(curr.borrow_mut().left.take());
let (r_height, r_bal) = RECUR_HELPER(curr.borrow_mut().right.take());
(
std::cmp::max(l_height, r_height) + 1,
l_bal && r_bal && (l_height - r_height).abs() <= 1,
)
}
};
RECUR_HELPER(root).1
}Java
Function<TreeNode, Object[]> recur_helper = root -> {
if (root == null) {
return new Object[]{0, true};
}
Object[] l_res = this.recur_helper.apply(root.left);
int l_height = (int) l_res[0];
boolean l_bal = (boolean) l_res[1];
Object[] r_res = this.recur_helper.apply(root.right);
int r_height = (int) r_res[0];
boolean r_bal = (boolean) r_res[1];
return new Object[]{Math.max(l_height, r_height) + 1, l_bal && r_bal && Math.abs(l_height - r_height) <= 1};
};
/**
* Time Complexity: O(n)
* Space Complexity: O(n)
*/
public boolean isBalanced(TreeNode root) {
return (boolean) this.recur_helper.apply(root)[1];
}