98, Validate Binary Search Tree
1/8/24About 3 min
I Problem
Given the root of a binary tree, determine if it is a valid binary search tree (BST).
A valid BST is defined as follows:
- The left subtree of a node contains only nodes with keys less than the node's key.
- The right subtree of a node contains only nodes with keys greater than the node's key.
- Both the left and right subtrees must also be binary search trees.
Example 1
Input: root = [2, 1, 3]
Output: true
Example 2
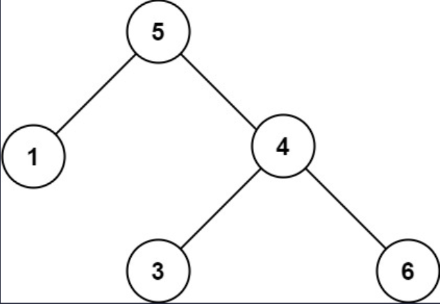
Input: root = [5, 1, 4, null, null, 3, 6]
Output: false
Explanation: The root node's value is 5 but its right child's value is 4.
Constraints
- The number of nodes in the tree is in the range
[1, 10⁴]. -2³¹ <= Node.val <= 2³¹ - 1
Related Topics
- Tree
- Depth-First Search
- Binary Search Tree
- Binary Tree
II Solution
Rust Node Definition
#[derive(Debug, PartialEq, Eq)]
pub struct TreeNode {
pub val: i32,
pub left: Option<Rc<RefCell<TreeNode>>>,
pub right: Option<Rc<RefCell<TreeNode>>>,
}
impl TreeNode {
#[inline]
pub fn new(val: i32) -> Self {
TreeNode {
val,
left: None,
right: None,
}
}
}Java Node Definition
public class TreeNode {
int val;
TreeNode left;
TreeNode right;
TreeNode() {}
TreeNode(int val) { this.val = val; }
TreeNode(int val, TreeNode left, TreeNode right) {
this.val = val;
this.left = left;
this.right = right;
}
}Approach 1: Squeeze Theorem
Rust
pub fn is_valid_bst(root: Option<Rc<RefCell<TreeNode>>>) -> bool {
//Self::dfs_recur_1(root)
//Self::dfs_iter_1(root)
Self::bfs_iter_1(root)
}
///
/// DFS, recursion
///
fn dfs_recur_1(root: Option<Rc<RefCell<TreeNode>>>) -> bool {
const DETERMINE: fn(Option<Rc<RefCell<TreeNode>>>, i64, i64) -> bool =
|root, min, max| match root {
None => true,
Some(curr) => {
let curr_val = curr.borrow().val as i64;
if !(min < curr_val && curr_val < max) {
return false;
}
let left = curr.borrow_mut().left.take();
let right = curr.borrow_mut().right.take();
DETERMINE(left, min, curr_val) && DETERMINE(right, curr_val, max)
}
};
DETERMINE(root, i64::MIN, i64::MAX)
}
///
/// DFS, iteration
///
fn dfs_iter_1(root: Option<Rc<RefCell<TreeNode>>>) -> bool {
if let Some(root) = root {
let mut stack = vec![(root, i64::MIN, i64::MAX)];
while let Some((curr, min, max)) = stack.pop() {
let curr_val = curr.borrow().val as i64;
if !(min < curr_val && curr_val < max) {
return false;
}
if let Some(right) = curr.borrow_mut().right.take() {
stack.push((right, curr_val, max));
}
if let Some(left) = curr.borrow_mut().left.take() {
stack.push((left, min, curr_val));
}
}
}
true
}
///
/// BFS, iteration
///
fn bfs_iter_1(root: Option<Rc<RefCell<TreeNode>>>) -> bool {
if let Some(root) = root {
let mut queue = VecDeque::from([(root, i64::MIN, i64::MAX)]);
while let Some((curr, min, max)) = queue.pop_front() {
let curr_val = curr.borrow().val as i64;
if !(min < curr_val && curr_val < max) {
return false;
}
if let Some(left) = curr.borrow_mut().left.take() {
queue.push_back((left, min, curr_val));
}
if let Some(right) = curr.borrow_mut().right.take() {
queue.push_back((right, curr_val, max));
}
}
}
true
}Java
public boolean isValidBST(TreeNode root) {
//return this.dfsRecur1(root);
//return this.dfsIter1(root);
return this.bfsIter1(root);
}
@FunctionalInterface
interface TriPredicate<A, B, C> {
boolean test(A a, B b, C c);
}
TriPredicate<TreeNode, Long, Long> determine1 = (root, min, max) -> {
if (root == null) {
return true;
}
long currVal = root.val;
if (!(min < currVal && currVal < max)) {
return false;
}
return this.determine1.test(root.left, min, currVal) && this.determine1.test(root.right, currVal, max);
};
/**
* DFS, recursion
*/
boolean dfsRecur1(TreeNode root) {
return this.determine1.test(root, Long.MIN_VALUE, Long.MAX_VALUE);
}
/**
* DFS, iteration
*/
boolean dfsIter1(TreeNode root) {
if (root != null) {
Deque<Object[]> stack = new ArrayDeque<>() {{
this.push(new Object[]{root, Long.MIN_VALUE, Long.MAX_VALUE});
}};
while (!stack.isEmpty()) {
Object[] objs = stack.pop();
TreeNode curr = (TreeNode) objs[0];
long min = (long) objs[1];
long max = (long) objs[2];
long currVal = curr.val;
if (!(min < currVal && currVal < max)) {
return false;
}
if (curr.right != null) {
stack.push(new Object[]{curr.right, currVal, max});
}
if (curr.left != null) {
stack.push(new Object[]{curr.left, min, currVal});
}
}
}
return true;
}
/**
* BFS, iteration
*/
boolean bfsIter1(TreeNode root) {
if (root != null) {
Deque<Object[]> queue = new ArrayDeque<>() {{
this.addLast(new Object[]{root, Long.MIN_VALUE, Long.MAX_VALUE});
}};
while (!queue.isEmpty()) {
Object[] objs = queue.removeFirst();
TreeNode curr = (TreeNode) objs[0];
long min = (long) objs[1];
long max = (long) objs[2];
long currVal = curr.val;
if (!(min < currVal && currVal < max)) {
return false;
}
if (curr.left != null) {
queue.addLast(new Object[]{curr.left, min, currVal});
}
if (curr.right != null) {
queue.addLast(new Object[]{curr.right, currVal, max});
}
}
}
return true;
}Approach 2: In-order traversal is ordered
Rust
pub fn is_valid_bst(root: Option<Rc<RefCell<TreeNode>>>) -> bool {
//Self::dfs_recur_2(root)
Self::dfs_iter_2(root)
}
///
/// DFS, recursion
///
fn dfs_recur_2(root: Option<Rc<RefCell<TreeNode>>>) -> bool {
let mut vals = vec![];
const DETERMINE: fn(Option<Rc<RefCell<TreeNode>>>, &mut Vec<i32>) -> bool =
|root, vals| match root {
None => true,
Some(curr) => {
if !DETERMINE(curr.borrow_mut().left.take(), vals) {
return false;
}
let curr_val = curr.borrow().val;
if !vals.last().map_or(true, |&prev_val| curr_val > prev_val) {
return false;
}
vals.push(curr_val);
DETERMINE(curr.borrow_mut().right.take(), vals)
}
};
DETERMINE(root, &mut vals)
}
///
/// DFS, iteration
///
fn dfs_iter_2(root: Option<Rc<RefCell<TreeNode>>>) -> bool {
if let Some(root) = root {
let mut vals = vec![];
let mut stack = vec![Ok(root)];
while let Some(curr) = stack.pop() {
match curr {
Ok(node) => {
if let Some(right) = node.borrow_mut().right.take() {
stack.push(Ok(right));
}
stack.push(Err(node.borrow().val));
if let Some(left) = node.borrow_mut().left.take() {
stack.push(Ok(left));
}
}
Err(curr_val) => {
if !vals.last().map_or(true, |&prev_val| curr_val > prev_val) {
return false;
}
vals.push(curr_val);
}
}
}
}
true
}Java
public boolean isValidBST(TreeNode root) {
//return this.dfsRecur2(root);
return this.dfsIter2(root);
}
BiPredicate<TreeNode, List<Integer>> determine2 = (root, vals) -> {
if (root == null) {
return true;
}
if (!this.determine2.test(root.left, vals)) {
return false;
}
int currVal = root.val;
if (!vals.isEmpty() && currVal <= vals.getLast()) {
return false;
}
vals.add(currVal);
return this.determine2.test(root.right, vals);
};
/**
* DFS, recursion
*/
boolean dfsRecur2(TreeNode root) {
List<Integer> vals = new ArrayList<>();
return this.determine2.test(root, vals);
}
/**
* DFS, iteration
*/
boolean dfsIter2(TreeNode root) {
if (root != null) {
List<Integer> vals = new ArrayList<>();
Deque<Object> stack = new ArrayDeque<>() {{
this.push(root);
}};
while (!stack.isEmpty()) {
Object obj = stack.pop();
switch (obj) {
case TreeNode node -> {
if (node.right != null) {
stack.push(node.right);
}
stack.push(node.val);
if (node.left != null) {
stack.push(node.left);
}
}
case Integer currVal -> {
if (!vals.isEmpty() && currVal <= vals.getLast()) {
return false;
}
vals.add(currVal);
}
default -> throw new IllegalStateException("Unexpected value: " + obj);
}
}
}
return true;
}