101, Symmetric Tree
12/20/23About 2 min
I Problem
Given the root of a binary tree, check whether it is a mirror of itself (i.e.,symmetric around its center).
Example 1
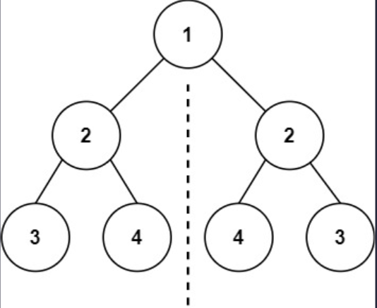
Input: root = [1, 2, 2, 3, 4, 4, 3]
Output: true
Example 2
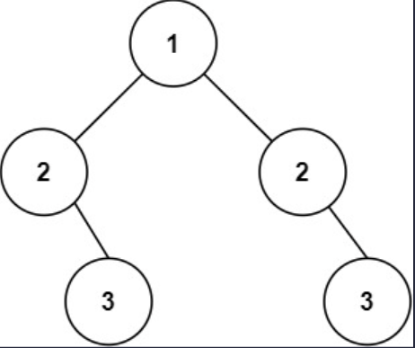
Input: root = [1, 2, 2, null, 3, null, 3]
Output: false
Constraints
- The number of nodes in the tree is in the range
[1, 1000]. -100 <= Node.val <= 100
Follow up
Could you solve it both recursively and iteratively?
Related Topics
- Tree
- Depth-First Search
- Breadth-First Search
- Binary Tree
II Solution
Rust Node Definition
#[derive(Debug, PartialEq, Eq)]
pub struct TreeNode {
pub val: i32,
pub left: Option<Rc<RefCell<TreeNode>>>,
pub right: Option<Rc<RefCell<TreeNode>>>,
}
impl TreeNode {
#[inline]
pub fn new(val: i32) -> Self {
TreeNode {
val,
left: None,
right: None,
}
}
}Java Node Definition
public class TreeNode {
int val;
TreeNode left;
TreeNode right;
TreeNode() {}
TreeNode(int val) { this.val = val; }
TreeNode(int val, TreeNode left, TreeNode right) {
this.val = val;
this.left = left;
this.right = right;
}
}Approach 1: Depth-First Search
Rust
///
/// DFS - Iteration
///
pub fn is_symmetric(root: Option<Rc<RefCell<TreeNode>>>) -> bool {
if let Some(root) = root {
let mut l_r_root = root.borrow_mut().left.take();
let mut r_l_root = root.borrow_mut().right.take();
let mut l_r_stack = vec![];
let mut r_l_stack = vec![];
while l_r_root.is_some()
|| !l_r_stack.is_empty()
|| r_l_root.is_some()
|| !r_l_stack.is_empty()
{
match (l_r_root, r_l_root) {
(Some(l_r_node), Some(r_l_node)) => {
if l_r_node.borrow().val != r_l_node.borrow().val {
return false;
}
l_r_root = l_r_node.borrow_mut().left.take();
l_r_stack.push(l_r_node);
r_l_root = r_l_node.borrow_mut().right.take();
r_l_stack.push(r_l_node);
}
(None, None) => match (l_r_stack.pop(), r_l_stack.pop()) {
(Some(l_r_node), Some(r_l_node)) => {
l_r_root = l_r_node.borrow_mut().right.take();
r_l_root = r_l_node.borrow_mut().left.take();
}
(_, _) => return false,
},
(_, _) => return false,
}
}
}
true
}Java
/**
* DFS - Iteration
*/
public boolean isSymmetric(TreeNode root) {
Deque<TreeNode> l_r_stack = new ArrayDeque<>();
Deque<TreeNode> r_l_stack = new ArrayDeque<>();
TreeNode l_r_root = root.left;
TreeNode r_l_root = root.right;
while (l_r_root != null || !l_r_stack.isEmpty()
|| r_l_root != null || !r_l_stack.isEmpty())
{
if (l_r_root == null && r_l_root == null) {
l_r_root = l_r_stack.pop().right;
r_l_root = r_l_stack.pop().left;
} else if (l_r_root == null || r_l_root == null) {
return false;
} else {
if (l_r_root.val != r_l_root.val) {
return false;
}
l_r_stack.push(l_r_root);
l_r_root = l_r_root.left;
r_l_stack.push(r_l_root);
r_l_root = r_l_root.right;
}
}
return true;
}Approach 2: Breadth-First Search
Rust
pub fn is_symmetric(root: Option<Rc<RefCell<TreeNode>>>) -> bool {
//Self::bfs_recur(root)
Self::bfs_iter(root)
}
///
/// BFS - Recursion
///
fn bfs_recur(root: Option<Rc<RefCell<TreeNode>>>) -> bool {
if let Some(root) = root {
const HELPER: fn(Option<Rc<RefCell<TreeNode>>>, Option<Rc<RefCell<TreeNode>>>) -> bool =
|left, right| match (left, right) {
(Some(left), Some(right)) => {
left.borrow().val == right.borrow().val
&& HELPER(left.borrow().left.clone(), right.borrow().right.clone())
&& HELPER(left.borrow().right.clone(), right.borrow().left.clone())
}
(None, None) => true,
(_, _) => false,
};
HELPER(root.borrow().left.clone(), root.borrow().right.clone())
} else {
true
}
}
///
/// BFS - Iteration
///
fn bfs_iter(root: Option<Rc<RefCell<TreeNode>>>) -> bool {
if let Some(root) = root {
let mut queue = VecDeque::new();
queue.push_back(root.borrow_mut().left.take());
queue.push_back(root.borrow_mut().right.take());
while !queue.is_empty() {
match (queue.pop_front(), queue.pop_front()) {
(Some(left), Some(right)) => match (left, right) {
(Some(left), Some(right)) => {
if left.borrow().val != right.borrow().val {
return false;
}
queue.push_back(left.borrow_mut().left.take());
queue.push_back(right.borrow_mut().right.take());
queue.push_back(left.borrow_mut().right.take());
queue.push_back(right.borrow_mut().left.take());
}
(None, None) => {}
(_, _) => return false,
},
(_, _) => return false,
}
}
}
true
}Java
public boolean isSymmetric(TreeNode root) {
//return this.bfsRecur(root);
return this.bfsIter(root);
}
BiPredicate<TreeNode, TreeNode> helper = (left, right) -> {
if (left == null && right == null) {
return true;
}
if (left == null || right == null) {
return false;
}
return left.val == right.val
&& this.helper.test(left.left, right.right)
&& this.helper.test(left.right, right.left);
};
/**
* BFS - Recursion
*/
boolean bfsRecur(TreeNode root) {
return this.helper.test(root.left, root.right);
}
/**
* BFS - Iteration
*/
boolean bfsIter(TreeNode root) {
Deque<TreeNode> queue = new LinkedList<>() {{
this.addLast(root.left);
this.addLast(root.right);
}};
while (!queue.isEmpty()) {
TreeNode left = queue.pollFirst();
TreeNode right = queue.pollFirst();
if (left == null && right == null) {
continue;
}
if (left == null || right == null) {
return false;
}
if (left.val != right.val) {
return false;
}
queue.addLast(left.left);
queue.addLast(right.right);
queue.addLast(left.right);
queue.addLast(right.left);
}
return true;
}