404, Sum of Left Leaves
12/27/23About 3 min
I Problem
Given the root of a binary tree, return the sum of all left leaves.
A leaf is a node with no children. A left leaf is a leaf that is the left child of another node.
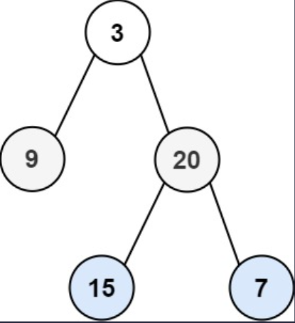
Example 1
Input: root = [3, 9, 20, null, null, 15, 7]
Output: 24
Explanation: There are two left leaves in the binary tree, with values 9 and 15 respectively.
Example 2
Input: root = [1]
Output: 0
Constraints
- The number of nodes in the tree is in the range
[1, 1000]. -1000 <= Node.val <= 1000
Related Topics
- Tree
- Depth-First Search
- Breadth-First Search
- Binary Tree
II Solution
Rust Node Definition
#[derive(Debug, PartialEq, Eq)]
pub struct TreeNode {
pub val: i32,
pub left: Option<Rc<RefCell<TreeNode>>>,
pub right: Option<Rc<RefCell<TreeNode>>>,
}
impl TreeNode {
#[inline]
pub fn new(val: i32) -> Self {
TreeNode {
val,
left: None,
right: None,
}
}
}Java Node Definition
public class TreeNode {
int val;
TreeNode left;
TreeNode right;
TreeNode() {}
TreeNode(int val) { this.val = val; }
TreeNode(int val, TreeNode left, TreeNode right) {
this.val = val;
this.left = left;
this.right = right;
}
}Approach 1: Depth-First Search
Rust
pub fn sum_of_left_leaves(root: Option<Rc<RefCell<TreeNode>>>) -> i32 {
//Self::dfs_recur_1(root)
//Self::dfs_recur_2(root)
Self::dfs_iter(root)
}
fn dfs_recur_1(root: Option<Rc<RefCell<TreeNode>>>) -> i32 {
let mut sum = 0;
const RECUR: fn(Option<Rc<RefCell<TreeNode>>>, bool, &mut i32) = |root, is_left, sum| {
if let Some(curr) = root {
let left = curr.borrow_mut().left.take();
let right = curr.borrow_mut().right.take();
match (left, right) {
(None, None) => {
if is_left {
*sum += curr.borrow().val;
}
}
(left, right) => {
if left.is_some() {
RECUR(left, true, sum);
}
if right.is_some() {
RECUR(right, false, sum);
}
}
}
}
};
RECUR(root, false, &mut sum);
sum
}
fn dfs_recur_2(root: Option<Rc<RefCell<TreeNode>>>) -> i32 {
const RECUR: fn(Option<Rc<RefCell<TreeNode>>>, bool) -> i32 = |root, is_left| match root {
None => 0,
Some(curr) => {
let left = curr.borrow_mut().left.take();
let right = curr.borrow_mut().right.take();
match (left, right) {
(None, None) => {
if is_left {
curr.borrow().val
} else {
0
}
}
(left, right) => RECUR(left, true) + RECUR(right, false),
}
}
};
RECUR(root, false)
}
fn dfs_iter(root: Option<Rc<RefCell<TreeNode>>>) -> i32 {
let mut sum = 0;
if let Some(root) = root {
let mut stack = vec![(root, false)];
while let Some((curr, is_left)) = stack.pop() {
let left = curr.borrow_mut().left.take();
let right = curr.borrow_mut().right.take();
if left.is_none() && right.is_none() && is_left {
sum += curr.borrow().val;
}
if let Some(right) = right {
stack.push((right, false));
}
if let Some(left) = left {
stack.push((left, true));
}
}
}
sum
}Java
public int sumOfLeftLeaves(TreeNode root) {
//return this.dfsRecur1(root);
//return this.dfsRecur2(root);
return this.dfsIter(root);
}
@FunctionalInterface
interface TriConsumer<A, B, C> {
void accept(A a, B b, C c);
}
TriConsumer<TreeNode, Boolean, int[]> recur1 = (root, isLeft, sum) -> {
if (root == null) {
return;
}
if (root.left == null && root.right == null) {
if (isLeft) {
sum[0] += root.val;
}
} else {
if (root.left != null) {
this.recur1.accept(root.left, true, sum);
}
if (root.right != null) {
this.recur1.accept(root.right, false, sum);
}
}
};
int dfsRecur1(TreeNode root) {
int[] sum = new int[]{0};
this.recur1.accept(root, false, sum);
return sum[0];
}
BiFunction<TreeNode, Boolean, Integer> recur2 = (root, isLeft) -> {
if (root == null) {
return 0;
}
if (root.left == null && root.right == null) {
if (isLeft) {
return root.val;
} else {
return 0;
}
} else {
return this.recur2.apply(root.left, true) + this.recur2.apply(root.right, false);
}
};
int dfsRecur2(TreeNode root) {
return this.recur2.apply(root, false);
}
int dfsIter(TreeNode root) {
int sum = 0;
if (root != null) {
Deque<Object[]> stack = new ArrayDeque<>() {{
this.push(new Object[]{root, false});
}};
while (!stack.isEmpty()) {
Object[] objs = stack.pop();
TreeNode curr = (TreeNode) objs[0];
boolean isLeft = (boolean) objs[1];
if (curr.left == null && curr.right == null && isLeft) {
sum += curr.val;
}
if (curr.right != null) {
stack.push(new Object[]{curr.right, false});
}
if (curr.left != null) {
stack.push(new Object[]{curr.left, true});
}
}
}
return sum;
}Approach 2: Breadth-First Search
Rust
pub fn sum_of_left_leaves(root: Option<Rc<RefCell<TreeNode>>>) -> i32 {
Self::bfs_iter(root)
}
fn bfs_iter(root: Option<Rc<RefCell<TreeNode>>>) -> i32 {
let mut sum = 0;
if let Some(root) = root {
let mut queue = VecDeque::from([(root, false)]);
while let Some((curr, is_left)) = queue.pop_front() {
let left = curr.borrow_mut().left.take();
let right = curr.borrow_mut().right.take();
if left.is_none() && right.is_none() && is_left {
sum += curr.borrow().val;
}
if let Some(left) = left {
queue.push_back((left, true));
}
if let Some(right) = right {
queue.push_back((right, false));
}
}
}
sum
}Java
public int sumOfLeftLeaves(TreeNode root) {
return this.bfsIter(root);
}
int bfsIter(TreeNode root) {
int sum = 0;
if (root != null) {
Deque<Object[]> queue = new ArrayDeque<>() {{
this.addLast(new Object[]{root, false});
}};
while (!queue.isEmpty()) {
Object[] objs = queue.removeFirst();
TreeNode curr = (TreeNode) objs[0];
boolean isLeft = (boolean) objs[1];
if (curr.left == null && curr.right == null && isLeft) {
sum += curr.val;
}
if (curr.left != null) {
queue.addLast(new Object[]{curr.left, true});
}
if (curr.right != null) {
queue.addLast(new Object[]{curr.right, false});
}
}
}
return sum;
}