513, Find Bottom Left Tree Value
12/28/23About 3 min
I Problem
Given the root of a binary tree, return the leftmost value in the last row of the tree.
Example 1
Input: root = [2, 1, 3]
Output: 1
Example 2
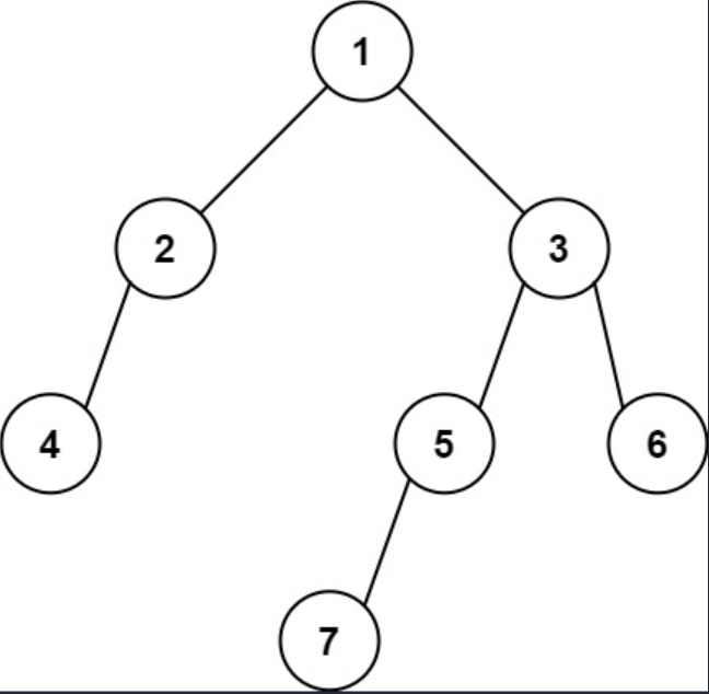
Input: root = [1, 2, 3, 4, null, 5, 6, null, null, 7]
Output: 7
Constraints
- The number of nodes in the tree is in the range
[1, 10⁴]. -2³¹ <= Node.val <= 2³¹ - 1
Related Topics
- Tree
- Depth-First Search
- Breadth-First Search
- Binary Tree
II Solution
Rust Node Definition
#[derive(Debug, PartialEq, Eq)]
pub struct TreeNode {
pub val: i32,
pub left: Option<Rc<RefCell<TreeNode>>>,
pub right: Option<Rc<RefCell<TreeNode>>>,
}
impl TreeNode {
#[inline]
pub fn new(val: i32) -> Self {
TreeNode {
val,
left: None,
right: None,
}
}
}Java Node Definition
public class TreeNode {
int val;
TreeNode left;
TreeNode right;
TreeNode() {}
TreeNode(int val) { this.val = val; }
TreeNode(int val, TreeNode left, TreeNode right) {
this.val = val;
this.left = left;
this.right = right;
}
}Approach 1: Depth-First Search
Rust
pub fn find_bottom_left_value(root: Option<Rc<RefCell<TreeNode>>>) -> i32 {
//Self::dfs_recur(root)
Self::dfs_iter(root)
}
///
/// DFS - Recursion(Pre-Order)
///
fn dfs_recur(root: Option<Rc<RefCell<TreeNode>>>) -> i32 {
let mut val = 0;
let mut val_level = i32::MIN;
const RECUR: fn(Option<Rc<RefCell<TreeNode>>>, i32, &mut i32, &mut i32) =
|root, level, val, val_level| {
if let Some(curr) = root {
let left = curr.borrow_mut().left.take();
let right = curr.borrow_mut().right.take();
if left.is_none() && right.is_none() && level > *val_level {
*val = curr.borrow().val;
*val_level = level;
}
RECUR(left, level + 1, val, val_level);
RECUR(right, level + 1, val, val_level);
}
};
RECUR(root, 0, &mut val, &mut val_level);
val
}
///
/// DFS - Iteration(Pre-Order)
///
fn dfs_iter(root: Option<Rc<RefCell<TreeNode>>>) -> i32 {
let mut val = 0;
let mut val_level = i32::MIN;
if let Some(root) = root {
let mut stack = vec![(root, 0)];
while let Some((curr, level)) = stack.pop() {
let left = curr.borrow_mut().left.take();
let right = curr.borrow_mut().right.take();
if left.is_none() && right.is_none() && level > val_level {
val = curr.borrow().val;
val_level = level;
}
if let Some(right) = right {
stack.push((right, level + 1));
}
if let Some(left) = left {
stack.push((left, level + 1));
}
}
}
val
}Java
public int findBottomLeftValue(TreeNode root) {
//return this.dfsRecur(root);
return this.dfsIter(root);
}
@FunctionalInterface
interface TriConsumer<X, Y, Z> {
void accept(X x, Y y, Z z);
}
TriConsumer<TreeNode, Integer, int[]> recur = (root, level, val) -> {
if (root == null) {
return;
}
if (root.left == null && root.right == null && level > val[1]) {
val[0] = root.val;
val[1] = level;
}
this.recur.accept(root.left, level + 1, val);
this.recur.accept(root.right, level + 1, val);
};
/**
* DFS - Recursion(Pre-Order)
*/
int dfsRecur(TreeNode root) {
int[] val = new int[] {0, Integer.MIN_VALUE};
this.recur.accept(root, 0, val);
return val[0];
}
/**
* DFS - Iteration(Pre-Order)
*/
int dfsIter(TreeNode root) {
int val = 0;
int val_level = Integer.MIN_VALUE;
Deque<Object[]> stack = new ArrayDeque<>() {{
this.push(new Object[]{root, 0});
}};
while (!stack.isEmpty()) {
Object[] objs = stack.pop();
TreeNode curr = (TreeNode) objs[0];
int level = (int) objs[1];
if (curr.left == null && curr.right == null && level > val_level) {
val = curr.val;
val_level = level;
}
if (curr.right != null) {
stack.push(new Object[]{curr.right, level + 1});
}
if (curr.left != null) {
stack.push(new Object[]{curr.left, level + 1});
}
}
return val;
}Approach 2: Breadth-First Search
Rust
pub fn find_bottom_left_value(root: Option<Rc<RefCell<TreeNode>>>) -> i32 {
//Self::bfs_iter_1(root)
Self::bfs_iter_2(root)
}
///
/// BFS - Iteration(Level Order)
///
fn bfs_iter_1(root: Option<Rc<RefCell<TreeNode>>>) -> i32 {
let mut val = 0;
if let Some(root) = root {
let mut queue = VecDeque::from([root]);
while !queue.is_empty() {
let level_len = queue.len();
for i in 0..level_len {
if let Some(curr) = queue.pop_front() {
if i == 0 {
val = curr.borrow().val;
}
if let Some(left) = curr.borrow_mut().left.take() {
queue.push_back(left);
}
if let Some(right) = curr.borrow_mut().right.take() {
queue.push_back(right);
}
}
}
}
}
val
}
///
/// BFS - Iteration(Level Order)
///
fn bfs_iter_2(root: Option<Rc<RefCell<TreeNode>>>) -> i32 {
let mut val = 0;
if let Some(root) = root {
let mut queue = VecDeque::from([(root, 0)]);
let mut prev_level = -1;
while let Some((curr, level)) = queue.pop_front() {
if prev_level != level {
val = curr.borrow().val;
}
prev_level = level;
if let Some(left) = curr.borrow_mut().left.take() {
queue.push_back((left, level + 1));
}
if let Some(right) = curr.borrow_mut().right.take() {
queue.push_back((right, level + 1));
}
}
}
val
}Java
public int findBottomLeftValue(TreeNode root) {
//return this.bfsIter1(root);
return this.bfsIter2(root);
}
/**
* BFS - Iteration(Level Order)
*/
int bfsIter1(TreeNode root) {
int val = 0;
Deque<TreeNode> queue = new ArrayDeque<>() {{
this.addLast(root);
}};
while (!queue.isEmpty()) {
int levelSize = queue.size();
for (int i = 0; i < levelSize; i++) {
TreeNode curr = queue.removeFirst();
if (i == 0) {
val = curr.val;
}
if (curr.left != null) {
queue.addLast(curr.left);
}
if (curr.right != null) {
queue.addLast(curr.right);
}
}
}
return val;
}
/**
* BFS - Iteration(Level Order)
*/
int bfsIter2(TreeNode root) {
int val = 0;
int prevLevel = -1;
Deque<Object[]> queue = new ArrayDeque<>() {{
this.addLast(new Object[]{root, 0});
}};
while (!queue.isEmpty()) {
Object[] objs = queue.removeFirst();
TreeNode curr = (TreeNode) objs[0];
int level = (int) objs[1];
if (prevLevel != level) {
val = curr.val;
}
prevLevel = level;
if (curr.left != null) {
queue.addLast(new Object[]{curr.left, level + 1});
}
if (curr.right != null) {
queue.addLast(new Object[]{curr.right, level + 1});
}
}
return val;
}